氨基三甲叉膦酸 ATMP
Amino Trimethylene Phosphonic Acid (ATMP)
CAS No. 6419-19-8
別名:氨基三亞甲基膦酸、ATMPA、次氮基三亞甲基三膦酸、次氮基三亞甲基膦酸
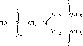
分子式 N(CH2PO3H2)3 相對分子質量:299.05
結構式

一、性能與用途:
ATMP具有良好的螯合、低限抑制及晶格畸變作用。可阻止水中成垢鹽類形成水垢,特別是碳酸鈣垢的形成。ATMP在水中化學性質穩定,不易水解。在水中濃度較高時,有良好的緩蝕效果。
ATMP用于火力發電廠、煉油廠的循環冷卻水、油田回注水系統。可以起到減少金屬設備或管路腐蝕和結垢的作用。ATMP在紡織印染等行業用作金屬離子螯合劑,也可用于金屬表面處理劑等。
ATMP固體為白色顆粒狀,易溶于水,易吸潮,易于運輸和使用,尤其適用于冬季嚴寒地區。
二、技術指標
|
項 目 |
指
標 |
| 符合HG/T 2841-2005
|
符合Q/SDTH 0071—2019 |
| 外 觀 |
無色或淡黃色透明液體 |
白色晶體 |
| 活性組分(以ATMP計) /% |
≥50 |
≥95 |
| 氨基三甲叉膦酸含量/% |
≥40 |
≥88 |
| 亞磷酸(以PO33-計)
/% |
≤3.5 |
-- |
| 磷酸(以PO43-計)/% |
≤0.8 |
≤0.8 |
| pH(1%水溶液) |
≤2.0 |
≤2.0 |
| 密度(20℃) /g·cm-3 |
≥1.30 |
-- |
|
氯化物(以Cl-計)/% |
≤2.0 |
≤1.0 |
| 鐵(以Fe2+計)含量/mg·L-1 |
≤20.0 |
≤10.0 |
三、使用方法
ATMP常與其它有機膦酸、聚羧酸或鹽等復配成有機水處理劑,用于各種不同水質條件下的循環冷卻水系統。用量以1-20mg/L為佳;作緩蝕劑使用時,用量為20-60mg/L。
四、包裝與貯存
ATMP液體用塑料桶包裝,每桶30kg或250kg;ATMP固體用內襯聚乙烯袋的塑料編織袋包裝,每袋凈重25kg,也可根據用戶需要確定。貯于室內陰涼通風處,防潮、嚴防曝曬,貯存期十二個月。
五、安全防護
ATMP為酸性,操作時注意勞動保護,應避免與皮膚、眼睛等接觸,接觸后應立即用大量清水沖洗。